Thread #16940654
HomeIndexCatalogAll ThreadsNew ThreadReply
H
Fish Edition
+Showing all 119 replies.
>>
File: download.png (50.6 KB)
50.6 KB
50.6 KB PNG
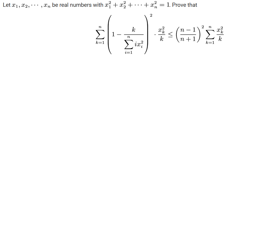
How many times larger is the large regular heptagon than the small one? The seven colored polygons are squares.
>>
>>16940654
fuck miggers
>>
>>16940654
I am developing a category theoretic model of the Somalian scammer pipeline.
>>
Previously >>16921941
>>
>>16942394
S/s = 2*tan(π/7) + 1 ≈ 1.963149
A/a = (S/s)^2 ≈ 3.853955
>>
>>16943200
https://youtu.be/XbIsAh0wUJA
Dude, there's a fucking built in LaTeX editor. Use that instead. Jesus FUCKING Christ.
[math]\frac{S}{s}=2\tan\left(\frac{\pi}{7}\right)+1\sim 1.963149[/math]
[math]\frac{A}{a}=\left(\frac{S}{s}\right)^{2}\sim 3.853955[/math]
Here, I fixed your shit. Next time don't do this.
>>
>>16942394
>heptagon
dhem jiggas
>>
>>16943219
>Dude, there's a fucking built in LaTeX editor.
You used a bad word! Isn't it MathJaX?
>Jesus FUCKING Christ.
You're not supposed to take the dear Lord's name in vain.
>Here, I fixed your shit.
Thanks for "fixing" my sh*t. But your "~" doesn't equal my "≈".
>Next time don't do this.
Yes sir. But what about "freedom of typesetting", huh?
>>
how do I, someone that failed hs, get good at math?
>>
What happened to /sqt/? It's been some months since I last been here, did the general die and no one bothered to create a new thread? I wanted to ask a physics question, fuck!
>>
>>16943952
Start with Lang's basic mathematics or geometry
His dialogues with high school students and non mathematicians are a great primer for mathematical intuition
>>
>>16943955
>I wanted to ask a physics question, fuck!
Just ask it here, it's as good a place as any.
>>
>>16943990
I know quarks are the building blocks of matter and all that, but what do they do exactly? Are they just charge carriers and nothing else? They're just there to produce charge to protons and neutrons?
>>
>>16944119
Quarks are fundamental particles which satisfy a number of properties. One of those is that, yes, they're charged. Another is that they're fermionic, and so obey Pauli exclusion, which is a reason they can make "solids." Another is that they naturally frequently come in bound states called protons and neutrons (among others), thanks to the strong nuclear interaction which they satisfy. None of these things are particularly their "job" any more than any other natural physical process has a "job" unless you take a particularly teleological view of physics.
>>
>>16943955
> What happened to /sqt/?
Answered in the the previous thread: >>16929641
>>
>>16944476
/mg/ is also slowly dying but people keep making them. Back in my day these threads used to hit the bump limit within a few hours.
>>
>>16943937
>You used a bad word! Isn't it MathJaX?
I don't give a shit what you prefer me to call anything, really. Stop being a pointless pecker.
>You're not supposed to take the dear Lord's name in vain.
I don't care. It's a phrase that people use.
>Thanks for "fixing" my sh*t. But your "~" doesn't equal my "≈".
This is 4chan, nitwit. You are allowed to swear.
>Yes sir. But what about "freedom of typesetting", huh?
Not. A. Thing.

The absolute fucking state of /sci/.
>>
>>16944634
NTA, but this is /sci/, not /pol/ or /v/, we don’t act like retards here, you're sticking out like a sore thumb.
>>
>>16944643
>someone with an IQ of 147 can somehow act like a retard, even when they're acting how they normally act
I don't think that word means what you think it means.
>>
File: download.gif (3.7 KB)
3.7 KB
3.7 KB GIF
>>
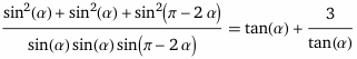
>>16944872
So much in that excellent formula
>>
>>16945093
It's just a bunch of trivial symbolic manipulation. It doesn't have that much significance to me.
>>
>>16944872
z = (Sin[α]^2 + Sin[β]^2 + Sin[γ]^2)/(Sin[α]*Sin[β]*Sin[γ])
>>16936339
>Tan[ε] + 3/Tan[ε]
If β = α, then γ = π – 2*α and z = Tan[α] + 3/Tan[α].
>>
>Analysis I and II - Tao
>Linear Algebra - Hoffman&Kunze
>Algebra - Artin
>Differential Geometry of Curves and Surfaces - Do Carmo
>Topology - Munkres
How long would it take to read all these books?
>>
>>16943955
It seems it is back up.
>>
>>16944634
>The absolute fucking state of /sci/.
What you scientists have to endure. No, you don't deserve this.
>>
>>16945349
Guessing those six books average to around 80-100k words apiece, and taking a conservative reading rate estimate of 200 words per minute, about 40-50 hours.
>>
>>16943219
Why did you use \sim instead of \approx?
NOOB
>>
>>16945549
No way, textbooks take way longer to read than your average young adult novel.
>>
Aren't there situations where you disregard the result of infinity in math?
>>
>>16944872
>left-hand side = right-hand side
The LHS is from the previous /mg/ thread; from post Nos. 1693-4173, -5497, and -6253.
And the RHS is the angular version of the LHS.
>>
>>16942394
For any regular n-gon with side s, ns^2 / 2Area = ns^2 / [2ns^2/ 4tan(pi/n)] = 2tan(pi/n) ala >>16943200
>>
>>16945093
kek

>>16945098
it's a quote from elon musk
>>
>>16945349
Reading is one thing. Doing the actual problems will be longer.
>>
>>16945098
Oh it's equal to >>16945939 btw
>>
excess information implies symbolic manipulation, invisible operations decide universal equations
>>
[math]c^2 = a^2 + b^2 -2ab \cos(\gamma)[/math]
>>
>>16946116
profound
>>
How do you explain this phenomenon that an imaginary number is required to produce a number that is actually a real number? For example if you put pickrelated into Wolfram Alpha it never simplifies it to anything that doesn't have an imaginary number somewhere. But yet it is a real number.

Does this mean that somehow imaginary numbers serve as a way to have closed forms for numbers that otherwise could not have closed forms?
>>
>>16946285
Yes, by using imaginary numbers you're also increasing the kinds of operations you can consider basic enough to fit within the (somewhat arbitrary) definition of a closed form. While imaginary numbers are very important to real numbers, mainly because of the fundamental theorem of algebra, this property is not so special to them.
>>
>>16946302
How can you define a number by using imaginary/complex numbers so that it couldn't be defined unless you used them, and so that the number itself is not imaginary/complex? What would the simplest number of this kind?
>>
>>16942501
I would like to lear about it.
>>
>>16946563
The research workshop doesn't start until June, sorry anon.
>>
>>16946285
>explain this phenomenon
Easy, you're relying on the output of a computer and assuming it's the end all be all and not doing any actual thinking or work yourself. Look up Euler's formula.
A better hs student should be able to "theoretically" take out the imaginary component in your pic, theoretically in that it's just long to write out, but the process is simple as hell
>>
Does /mg/ have a favourite mathematical proof? Sit and share, anon.
>>
There's a image macro of some very high-tier scientists/ logicians / mathematicians with quotes indicating they believe in god, and on the other side is like bill nye and neill degrasse tyson hyping up atheism. Anyone got it?

atheist here but trying to sell my religious friend on math being a good thing they should get into
>>
>>16946865
The majority of scientists and mathematicians nowadays are atheists. There was a research saying that like 60% of them are atheists IIRC.
>>
>>16946912
Pew research found the opposite. 60% of scientists in America believe in some kind of spirituality.
>>
File: lean_4.png (27.4 KB)
27.4 KB
27.4 KB PNG
Lean is so hard. Can't solve this one

(Can only use the 3 axioms shown btw)
>>
>>16947097
Did those things EVER solve anything important? I feel like AI has done more already than those theorem provers.
>>
>>16947120
Most people who study math won't do anything important.
>>
has anyone tried mathacademy?
>>
>>16947120
What has AI done? Absolutely nothing. Those theorem provers are used to solve some of the hardest conjectures in math. You're like the student who gets filtered by calculus because "they will never actually use it" when calculus is ubiquitous in modern engineering.
>>
>>16947097
First prove that [math]a*a^{-1}=1[/math] (presumably that's the next exercise anyway). Your theorem then follows by right-multiplying with [math]a[/math].
Now consider the two ways to compute [math]a^{-2}*a^{-1}*a[/math] and see if you can once again right-multiply the result by something to conclude.

You can technically unroll this proof and directly prove your theorem with one large equational proof (which essentially boils down to rewriting one big composite of five terms), but this should be conceptually clearer.
>>
What's a good reference on ODE's on manifolds?
>>
>>16947336
>What has AI done? Absolutely nothing
based
>>
AHAA! So in the last thread. the original problem for >>16942394 was on arbitrary triangles rather than regular polygons. I was able to find the center associated with that construction, and it had interesting relations to the triangle centroid and the median.

As it turns out, there's an >70,000 list of triangle centers found online through
>the Encyclopedia of Triangle Centers.
So you might wonder, which one is ours? Well it's fucking #6 out of >70,000!! The basic school centers are X(1) through X(4), while X(5) is the Nine-point center, which is the center of a circle that goes through 9 significant points related to the triangle. Well what is X(6) then? It's the Symmedian point, or the Lemoine point, which was proven to exist in 1873, so we're like 150 years too late, kek.

If you wanna know how it relates to the external squares drawn on the sides of the triangle, it's that the barycentric coordinates of this center is a^2: b^2: c^2. They also say it's the isogonal conjugate of the centroid, which is nice to know cause I really felt there was some deeper relation. It's pretty interesting how they construct it with symmedians instead of the side-squares, but it is the point that minimizes the squared distance from the sides, which sounds plausible.
>>
i have not yet determined the name of the center of convergence for the sequence of symmedian points of the triangle transformed repeatedly, i'll probably do that when I'm free at some point
>>
File: download.gif (3.4 KB)
3.4 KB
3.4 KB GIF
>>16945126
>If β = α, then γ = π – 2*α and z = Tan[α] + 3/Tan[α].
proof:
https://www.wolframalpha.com/input?i=%28Sin%5B%CE%B1%5D%5E2+%2B+Sin%5B%CE%B1%5D%5E2+%2B+Sin%5B%CF%80+%E2%80%93+2*%CE%B1%5D%5E2%29%2F%28Sin%5B%CE%B1%5D*Sin%5B%CE%B1%5D*Sin%5B%CF%80+%E2%80%93+2*%CE%B1%5D%29+%3D+Tan%5B%CE%B1%5D+%2B+3%2FTan%5B%CE%B1%5D
>>
Tricky problem for the class. I'll post a solution and some related results next /mg/.
>>
>>16952182 = 5th root of 14
>>
>>16952258
The next 3 /sci/ numerals that are on OEIS

>>16953237
Least number m such that 6^m == +- 1 (mod 6n + 1).
>>16954831
Decimal expansion of x satisfying [math]x^2 - 3 = \cot(x)[/math] and 0 < x < Pi.
>>16955717
Decimal expansion of the infinite double sum [math]S = \Sigma_{m\geq1} (\frac{\Sigma_{n\geq1} 1}{m^2n(m+n)^3})[/math]
>>
File: pretty .png (21.9 KB)
21.9 KB
21.9 KB PNG
>>16951352
>was on arbitrary triangles
>Encyclopedia of Triangle Centers
>the Symmedian point, or the Lemoine point

BER = barycentric extended ratio

The BER of D(n) is a^n : b^n : c^n,
where a = 5, b = 7, and c = 10.

D(0) = X(2) = centroid
D(1) = X(1) = incenter
D(2) = X(6) = symmedian point
D(3) = X(31)
D(4) = X(32)
[...]
D(1/0) = C

---

A = (0, 0)
B = (10, 0)
C = (31/5, 2*Sqrt[66]/5)

D(n) = (5^n*A + 7^n*B + 10^n*C)/(5^n + 7^n + 10^n)
n is an integer and 0 <= n <= 9
>>
>>16940654
Can someone please find the channel capacity for this channel and the input distribution that generates it?
[math]

\begin{pmatrix}
\frac{1}{4} & \frac{1}{4} & \frac{1}{2} \\
0 & \frac{1}{2} & \frac{1}{2} \\
\frac{1}{2} & 0 & \frac{1}{2}
\end{pmatrix}
[/math]
>>
>>16952461

If |n| <= 9, then D(n) is depicted.

D(–1/0) = A
D(0) = centroid
D(+1/0) = C

The endpoints of the curve are A and C.
The midpoint thereof is D(0).

Let's name that curve after yours truly.
>>
>>16945349
It would be very longful...
>>
Topology is so beautiful, bros.
>>
>>16946116
The big brother of the Pythagorean theorem
>>
>>16940654
how do you prove that there is no set whose complement is also a set
>>
>>16940654
Anyone learn to do competition math here? Was it worth it? I learned to olympaid-type inequalities over the last year or so, and I finally got fairly decent at it after ~250 hours or so. Planning on moving onto FE next, or maybe Combinatorics (but this topic seems fairly broad, would probably need to spend double the hours to get a decent grasp)

I already have a stats degree (with minor in pure math), but I want to get better at problem solving.
>>
>>16952858
>Was it worth it?
If you find yourself enjoying them and wanting to think about these sort of problems in your free time, you'll probably find your problem solving skills improving a bit as well. If you're forcing yourself to grind them because you think they're a royal road to being "good at math" in general then it's a massive waste of time. If you're trying to quantify these topics by how long they'll take to learn like they're school subjects then I think you already have the wrong mindset.
>Inequalities, functional equations
You also really picked some of the most rote topics. There's a reason most serious olympiads don't really do these any more. Pick out problems you actually find interesting. Or maybe try to build your way up in difficulty rather than going by topic, there's a whole spectrum of difficulty across competitions.
>>
>>16952827
The usual textbook way is to notice that their union would be the set of all sets. This requires pairing, union and separation (and excluded middle, though this proof can be adjusted for constructive set theories).
A quick alternative proof relying solely on regularity (or epsilon-induction in constructive set theories) uses the fact that \in is irreflexive and asymmetric.
There's yet another way (and probably the one with the most minimal assumptions as it requires just separation and nothing else) which directly goes through a more elaborate Russel-like argument.

I'd be happy to elaborate on any of these if any questions arise. I just didn't feel like Latexing several paragraphs of autism while phoneposting right now.
>>
I find it so incomprehensible how pure math PhDs are this smart, but deal with the most unpractical shit that has no use at all to society in any shape or form. Like do they not have any kind of cognitive dissonance or anything where they actually think about the worth they're giving to society?
>>
>>16953210
the same society that constantly belittles them for not being useful to it?
fuck that noise, I'll take my p-adics any day of the week
>>
>>16953210
They might have above average IQ, but I wouldn't overstate the consequences of that.
Autistic types study math where you can spend time with yourself while getting better at it - people who are incapable to do anything social, or even eventually compete in the office politics. It's not an admirable trait. Even if it's nice if they can get into a 4h-do-math-spurts, get into flow state, while other zoomer types can't.

Such types seek safety. Often they are "good at math", but don't stray away from the trodden path at all. Again, personality trait that doesn't even lead to interesting math results, even if they have a lifelong professor career. Many such cases.
This safety then is correlated with working in a "useless", unpractical area.

Math people DO know that they are removed from reality, make cynical jokes about it.
It's really similar to how various of the top 10 chess players will outright cynically say that speccing into some random rules game is really an absurdist move at the end of it, and kinda weird and kinda stupid, even if they got fame out of it, now since chess got this huge.
You can call this dissonance.

I don't even agree with you that viewing academic math as akin to an art is bad. We'll start about the meaning of life and end in a regress philosophizing about meaning. In praxis, the improvements of the last 100 years make life easier but why is making life easier and extending lifespan even a goal if we don't feel better. Why even work on something practical. The reality is that we could have stopped at the washing machine and just do good politics.
The stupid thing is that we're locked in a system where 1) quality pussy is scarce and 2) people look down on people who do common labour. But we don't need more innovation on the nose, or at least it's not trivial that we should trive to compete with other humans and nature in perpetuity. Live could have been solved 100 years ago. Math would stay around because it's beautiful.
>>
i dont know shit about the classification of simple groups
if its finite group, does that necessarily mean that its isomorphic to some set of rotations in an n-sphere?
bc all elements must be of finite order, so its like spinning a ball around
>>
>>16951352
>>16951359
It's nice they make it fairly easy to find centers in the encyclopedia. I already had most of the work done so it didn't take long to find that the convergence of the sequence is the Lemoine Homothetic Center, X(1285) - much higher than #6. Turns out this was described at least before 2003 by Darij Grinberg and there's extra info from Peter Moses in 2007. The site also mentions info about Randy Hutson in 2019, and Dan Reznik on August 9, 2025 (like half a year ago), but it looks to be repeat info from the former two. I don't really know why they basically repeated info

Regardless, here's not-new information and a question that I couldn't math out the answer to. Maybe the answer is known but I didnt look it up

Start with any triangle T1
>it's orthocenter is equal to the incenter of T2, the pedal triangle of the orthocenter
>Trivially, the incenter of T2 is the circumcenter of T3, the pedal triangle of the incenter.
>The circumcenter of T3 is orthocenter of T4, the pedal triangle of the circumcenter (and mediaL triangle of T3 since the T3's circumcenter is the intersection of the perpendicular bisector of T3)

Given a triangle center, draw 3 line segments from the center to the triangle vertices, then draw 3 more lines segments that are perpendicular to the triangle sides and intersecting the sides and the center. The triangle is now divided into 6 pieces, label them in counterclockwise order (1 ,2 ,3 ,4 ,5 ,6)
Not exactly trivial but pretty cool that it's true, the pedal triangle for this center is equal to rearranging these 6 inner triangles to (1, 6, 3, 2, 5, 4) and similarly, the antipedal triangle shifts to (1, 4, 3, 6, 5, 2). This means that doing a pedal triangle "transform" 3 times about the same center point (NOT the same TYPE of center) converts to a triangle similar to the reference one, albeit rotated and scaled in some way
>So (orthocenter, incenter, circumcenter) are a triplet of center types that perform a "pedal-cycle"

cont
>>
>>16953523
Further
>The circumcenter of T1 is the orthocenter of T2, the pedal triangle of the circumcenter.
>The circumcenter of T2 is the orthocenter of T3, the pedal triangle of the circumcenter.
Since they're just repeated mediaL triangles, they both converge to a point, or the homothetic (the sequence for repeated similar triangles) center of the two is the centroid of all of the triangles

For the center we care about (symmedian)
>The symmedian (lemoine point) of T1 is the centroid of T2, the pedal triangle of the symmedian. T2 is the mediaN (not mediaL) triangle of T1 scaled by 2/(R-1) rotated 90
>The symmedian of T2 is the centroid of T3, the pedal triangle of the symmedian. T3 the same as T1 scaled by 3/(R-1)^2, non rotated and displaced (homothetic)
>The homothetic center of the two (by repeating the transforms in a sequence) is the Lemoine Homothetic Center X(1285) of the triangles
Btw, the site didn't say that the pedal triangle for the symmedian is the mediaN triangle rotated 90, so maybe that's new! (kek, prob not)

What I want to know is, what's the 3rd type of center for (Symmedian, Centroid, ?) that pedal-cycles?

I tried to figure out how to move from one center to the other, but jesus it felt awful. Centers can be described with barycenteric coordinates (triangle areas), but by some feat of magic, centers of importance can be written in terms of the side lengths. This means trying to find bary coords (new areas) in terms of the new sides, but youre given old bary coords (old areas) in terms of old sides :/. It's really easy to write the new coords/areas in terms of the old sides but doing that last extra step is absolutely monstrous, idk how it can be done

There is also the question of, if the orthocenter and its isogonal conjugate the orthocenter converge to the centroid, and the centroid and its isogonal conjugate the symmedian converge to X(1285), is there some sort of pattern? Like, is there a limit point/center to these limit points/centers?
>>
>>16953525
That last point, I should rephrase. You start with the orthocenter. It's isogonal conj is the circumcenter. Repeated pedal transforms on the circumcenter are homothetic and converge to the centroid. The centroid's isogonal conjugate is the symmedian. Repeated pedal transforms for the symmedian are homothetic and they converge to the lemoine homothetic point. Does this pattern repeat?

Without being able to guess how to find the bary coords from one triangle to the next, i dunno how to solve
>>
>>16952461
>D(0) = X(2) = centroid
>D(1) = X(1) = incenter
>D(2) = X(6) = symmedian point
These three points aren't collinear, because the curve which they're on isn't a straight line.
>>
>>16953523
>the Lemoine Homothetic Center, X(1285)
>Homothetic
That sounds fake and gay.
>>
>>16956197
Not really fake, but just gay in constant proportions.
>>
>>16956197
>t. homo sapien
bruh you're created gay
>>
>>16952499
>>
File: iutform.jpg (116.2 KB)
116.2 KB
116.2 KB JPG
its up!
>>
>>16956514
>not peer reviewed
Into the trash it goes.
>>
>>16956514
So like, what happens if the lean proof goes awry and they realize that the other guys were correct and that the proof was flawed? Are they big enough to admit it was false, or are they just gonna delay any publication until they can "fix" or find a better proof, us that for lean, and never admit the original one was flawed cause nobody is gonna read it?
>>
The four identical rectangular pieces put on top of each other form a square. Each piece can be moved around individually inside the square frame. The yellow piece must be maneuvered through the slit in the bottom of the square frame. The slit is positioned exactly at the middle of the bottom side of the frame and it is as wide as the shorter side of the yellow piece.

If the square made by the four pieces has one unit side, what is the smallest possible side length the square frame can have so that it is still possible to maneuver the yellow piece out from the frame through the slit?

Can we have a closed form answer for this?
>>
>>16952499

D(–1/0) = A
[...]
D(–4) = X(1502)
D(–3) = X(561)
D(–2) = X(76)
D(–1) = X(75)
D(00) = X(2)
D(+1) = X(1)
D(+2) = X(6)
D(+3) = X(31)
D(+4) = X(32)
[...]
D(+1/0) = C
>>
>>16947120
>"I feel like AI has done more already than those theorem provers"
Anon, theorem provers themselves are the spearhead of IA's most relevant forays into mathematics
>>
>>16953525
>>16953630
Well I was at least able to find the answer to
>What I want to know is, what's the 3rd type of center for (Symmedian, Centroid, ?) that pedal-cycles?
online. From mathstack exchange 3 years ago, there was a guy looking the the answer the the same question. The elegant trick used in the solution was that instead of writing the new bary coordinates in terms of the new side lengths, the guy was able to show that the the midpoint of the center in question and it's isogonal conjugate sum to 1:1:1 or the centroid. The points that do that are the foci of the Steiner inellipse of the triangle X(39162), whose barycentric coordinates are (jesus fuck) - get this:

>2*a^6 - 2*a^4*b^2 + a^2*b^4 - b^6 - 2*a^4*c^2 + b^4*c^2 + a^2*c^4 + b^2*c^4 - c^6 - (2*a^4 - a^2*b^2 - b^4 - a^2*c^2 + 2*b^2*c^2 - c^4)*Sqrt[a^4 - a^2*b^2 + b^4 - a^2*c^2 - b^2*c^2 + c^4] + 2*Sqrt[-2*a^8 + 3*a^6*b^2 - 2*a^4*b^4 + 3*a^2*b^6 - 2*b^8 + 3*a^6*c^2 - 2*a^4*b^2*c^2 - 2*a^2*b^4*c^2 + 3*b^6*c^2 - 2*a^4*c^4 - 2*a^2*b^2*c^4 - 2*b^4*c^4 + 3*a^2*c^6 + 3*b^2*c^6 - 2*c^8 + 2*a^2*b^2*c^2*Sqrt[a^4 - a^2*b^2 + b^4 - a^2*c^2 - b^2*c^2 + c^4]*J^2]*S
I don't know what J and S are; idk maybe S is semiperimeter.

Honestly, there probably isn't a general direct way of finding the center-type of a chosen center relative to the pedal triangle of that center. A guy in the comments mentioned that maybe it's best to just put in a specific triangle, and try to see if the numerical value that pops out is also in the encyclopedia of centers, which is how they came up with the solution initially anyway.

Funny that the initial questioner was literally doing the same thing I was doing, but I think he made an incorrect comment that mightve been deleted, that said basically orthocenter -> incenter -> symmedian -> centroid -> ?? (steiner X(39162)), but that's not true as I mentioned earlier. It has to be orthocenter -> incenter -> circumcenter -> orthocenter (similar triangle rotated and scaled), or triplets.
>>
wtf is all this trig posting? some schizo off his meds or an AI spam bot?
>>
>>16957692
*isn't a general direct way
in terms of new triangle sides or parameters, as opposed to the old ones, which is very easy to do
>>
I love sucking dicks
>>
>>16952461
>The BER of D(n) is a^n : b^n : c^n

If a = b = c,
then D(n) = (A + B + C)/3 = centroid.
Which isn't a function of n.

In the image,
the side lengths are distinct,
but a ≈ b ≈ c.
>>
How do I prove that this induction principle implies the usual one?
If [math]A\subseteq\mathbb{N}[/math] with [math]0\in A[/math] and such that [math]n\in A \leftrightarrow n^{+}\in A[/math] then [math]A=\mathbb{N}[/math].
Apparently this is true but I can't figure it out.
>>
>>16957710
What is the "usual one?" This is the one I have always known.
>>
>>16957734
NTA but their induction step is an iff, whereas regular induction only requires the forward implication
>>
>>16957739
iff implies implies
So, isn't it trivial?
>>
>>16957774
induction trivially implies that other principle for that reason since it's the exact statement but with a stronger hypothesis (making the whole principle weaker than induction), the question was about the converse though
>>
hahahaha what the fuck
>All elementary functions from a single operator
https://arxiv.org/html/2603.21852v2#S2
>>
>>16957710
>leftrightarrow
Shouldn't it only be a rightarrow? If n+ = 7 is in A, I don't think you can assume 6 is in A`
>>
>>16957963
>Circuits using EML operator as a new element (Table 3) might be useful for analog computing [48]. One of the old problems in this field is construction of predefined multivariate elementary functions
Is this a problem in analog computing? I don't know jack shit about it
>>
>>16957710
I'm not familiar with a proof of this either but it's an interesting question.

To be completely honest though, you'd be better off asking questions like these somewhere else.
This site, especially this board and even moreso this general has been on a steady decline for a while now. The chances of somebody here being able to actually help you are exceedingly low (if that wasn't already apparent by the couple of answers you've already received and which don't even seem to parse the question correctly).
>>
>>16957927
The question literally asks forward implication. The converse seems to be obvious too. Usual induction implies IN and IN satisfies the iff.
>>
How many different neural networks can I build if I constrain myself to have the smalles NN be 1 neuron and largest NN be n by n neurons? Of course you can't have a layer on top of a non existing layer and position or order of the neurons within a layer doesn't matter, only their count.
I have made this equation, but haven't proved it:
[ math ] C_nn = n^{n-1}(n-1) + \sum_{i=1}^{n-2}n^i [ /math ]
It would be nice if somebody double checked it.
>>
>>16958426
The question was if the principle with the strict induction premise implies the ordinary induction principle. That direction isn't trivial at all.
The converse, as in induction implying this principle, is trivially true. So another way to phrase the question would be whether these two principles are equivalent.
>>
>>16958445
Nvm I figured it out, it's just [math] C_nn = \sum_{i=1}^{n}N^i[/math]
>>
>>16957710
I think you can prove it by considering the set B of all n such that all k less than n is in A. This must contain 0, and this will satisfy your principle. But of course, you need to redefine "less than" using your principle.
>>
Realised now that my entire math education leading up to university was simply teaching me how to quickly and efficiently solve tests, the way you would teach a monkey how to write a novel by having it memorize the correct sequence of button presses that result in a novel being written instead of teaching it how to read and write. I now have to relearn late high school tier math from fucking ground up in order to understand what is happening instead of solving equations like a computer
>>
>>16958533
You do realise that is true for every subject right? The entire school system encourages it. When schools are rated on how many of their students pass, of course they are pressured - intentional or not - to focus on how to answer exam questions. It's all about PR and political sound bites, not education.
>>
>>16957301

As of 15 April 2026, the last triangle center in Clark Kimberling's Encyclopedia of Triangle Centers was X(72243).

There are uncountably many triangle centers on "H.L.S.'s curve segment"^(TM).

If my curve segment were included in the image, then its endpoints would be B and C.
>>
Lean is definitely ready for the average mathemati-ACK!

(The issue was that I didn't cast 0 as a real number, but the error message didn't say that :D)
>>
Suppose you have a chain of galois connections [math]f \dashv g \dashv h[/math], say [math]f[/math] is order-reflecting if [math]f(x) \leq f(x')[/math] implies [math]x \leq x'[/math].
Is it true that [math]f[/math] is order-reflecting iff [math]h[/math] is?
>>
Genuinely where did everybody go? I remember when this general used to hit bump limit within a couple of days at most, now it's basically dead... :(
>>
>>16959784
just like the rest of the site: hasn't been the same since the hack
>>
File: dumb.jpg (362.9 KB)
362.9 KB
362.9 KB JPG
I haven't touched math since 2009
>>
>>16959784
You wanna talk about some math?
>>
>>16944643
>we don’t act like retards here

Reply to Thread #16940654


Supported: JPG, PNG, GIF, WebP, WebM, MP4, MP3 (max 4MB)